多年专注专业制造 斗式提升机制造专家 该收尘器是从美国富乐公司引进的一项新产品。本系列产品可广泛用于水泥厂的破碎安装、库顶、熟料冷却机和磨机等收尘系统。
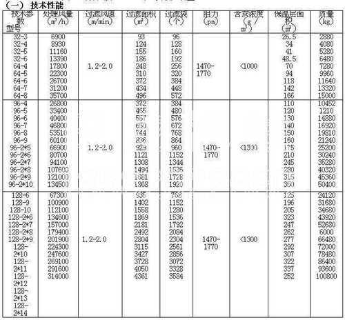
本系列产品共有33种规格,每室的袋有32、64、96、128袋四种,滤袋长度有2450mm和3060mm两种,收尘效率可达99.9%以上,净化后气体的含尘浓度小于100mg/㎥(标)本系列收尘器如用于寒冷地区,当室外采暖计算温度≤-25℃时,要设热装置。



MC型脉冲喷吹袋式除尘器
MC型袋式除尘器,是一种过滤式除尘设备,采用脉冲反吹出灰技术,除尘效率可达99%。
MC型袋式除尘器具有滤袋寿命长,维修量小,处理风量大,运行稳定可靠,除尘效率高等优点,可广泛应用于焦化、耐火、冶金、建材、化工、食品、采掘、机械、农药等各种工况场合。
